EisatoponAI

Your Daily Experience of Math Adventures

Welcome to EisatoponAI!

Τα άρθρα μας είναι διαθέσιμα και στα Αγγλικά 🇬🇧.
Our posts are also available in English.
Tap the English button at the top of each article.

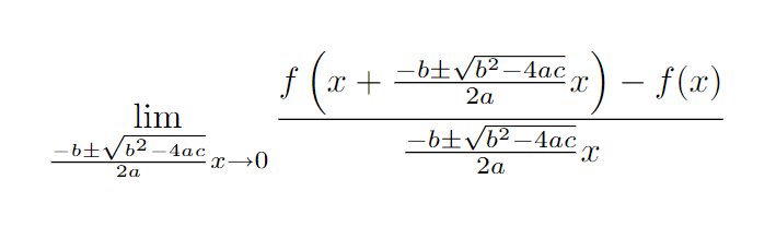
Μια Ιδιαίτερη Μορφή Ορίου και Παραγώγου

Ρώτησε το Math Oracle Mathematical Duel
Ανακάλυψε μαθηματική σοφία!

Δεν υπάρχουν σχόλια:

Δημοσίευση σχολίου

Τράπεζα Θεμάτων Πανελλαδικών Εξετάσεων
Τράπεζα Θεμάτων Πανελλαδικών Εξετάσεων